c语言三条边abc求三角形面积
作者:野牛程序员:2024-10-30 20:53:58C语言阅读 2965
c语言三条边abc求三角形面积
c语言三条边abc求三角形面积
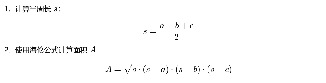
可以使用海伦公式计算三角形的面积。海伦公式的步骤如下:

下面是一个使用C语言实现的示例代码:
#include <stdio.h>
#include <math.h>
double calculateArea(double a, double b, double c) {
double s = (a + b + c) / 2;
return sqrt(s * (s - a) * (s - b) * (s - c));
}
int main() {
double a, b, c;
printf("请输入三条边长 a, b, c: ");
scanf("%lf %lf %lf", &a, &b, &c);
// 检查是否能构成三角形
if (a + b > c && a + c > b && b + c > a) {
double area = calculateArea(a, b, c);
printf("三角形的面积为: %.2lf\n", area);
} else {
printf("这三条边不能构成三角形。\n");
}
return 0;
}在代码中,首先输入三条边的长度,然后检查是否能构成三角形,最后计算并输出面积。
野牛程序员教少儿编程与信息学奥赛-微信|电话:15892516892

- 上一篇:被除数小于除数进行取余的解析
- 下一篇:C语言判断是否是三角形
